Price Elasticity of Demand is the change in quantity demanded in response to a change in price.
Table of Contents
What is Price Elasticity of Demand?
Price elasticity of demand is the change in quantity demanded when there is a change in price.

Featured
– The demand for a good is price elastic if the quantity demanded changes drastically when the price changes.
– Demand is considered inelastic if the quantity demanded only changes little or does not change when the price changes.
The question is: What factors determine the demand for a good that is inelastic or inelastic or more or less elastic?
Because the demand for any good depends on the preferences of the consumer, the elasticity of demand depends on many economic, social and psychological factors. In addition it also depends on a number of other factors such as: the necessity of the goods for people.
Example: Essential goods have an inelastic demand for price, while luxury goods have a strong elastic demand. Commodities with close substitutes tend to have stronger elastic demand because buyers easily switch from using them to other goods, such as vegetable oils and animal fats.
Special point
The demand for a good is said to be price elastic if the quantity demanded adjusts sharply when the price adjusts.
Demand is said to be inelastic if the quantity demanded changes little or no change when the price changes.
The question is: What factors determine the desire for a good to be elastic or inelastic or more or less elastic?
Since the desire for any good is based on consumer preferences, it is possible that the degree of elasticity of demand depends on many economic, social, and psychological factors. In addition, it also depends on a number of other factors such as the necessity of that commodity to people.
Example: Indispensable goods have inelastic demand for price, while luxury goods have strong elastic demand. Goods with close substitutes often have stronger elastic demand because buyers simply switch from consuming them to other goods, such as vegetable oils and animal fats.
See also: What is owner’s equity? How is equity capital of the business?
Price Elasticity of Demand Formula
To determine the elasticity of demand, elasticity coefficients are used. Elasticity coefficient reflects the response of demand to price changes.
Economists calculate the elasticity of demand by dividing the percentage change in quantity demanded by the percentage change in price.
Suppose a 10% change in price causes a 20% decrease in the amount of beer you buy, we have:
Elasticity of demand = -20% / 10% = -2
The magnitude of the elasticity of demand of 2 tells us that the change in quantity demanded is twice that of the change in price.
Note:
Since the quantity demanded for a good is inversely related to its price, the percentage change in quantity demanded always contrasts with the percentage change in price. So when calculating the elasticity of demand, the result is always negative.
The greater the price elasticity of demand, the stronger the response of the quantity demanded to the price.
The formula for determining the approximate elasticity
Definition
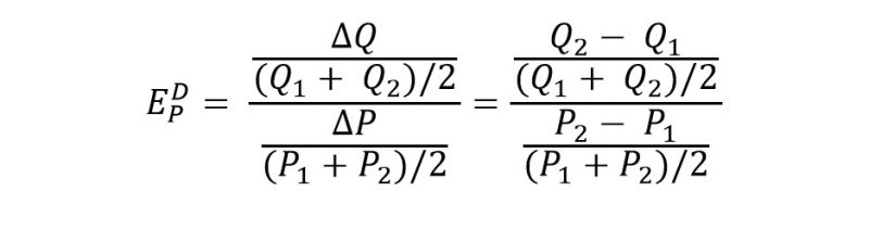
An interval elasticity is an elasticity over a certain finite range of the demand curve.
Formula determined
If we calculate the elasticity of demand between two points on a demand curve, we apply the midpoint approach. Suppose we calculate the elasticity of demand between 2 points (P1, Q1) and (P2, Q2) as follows:

Inside
Or can be rewritten as follows:

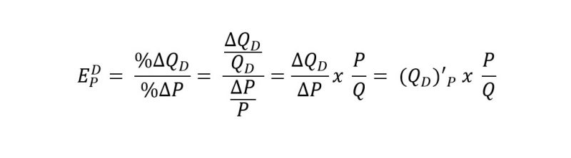
The formula for determining the point elasticity
Definition
Point elasticity is the elasticity of a particular point on the demand curve.
Formula determined
In practice, we often determine the equation for the demand curve, whereby the elasticity at a point can be determined by the following formula:

For example
On the demand curve, point A costs 2,000 PHP and quantity is 120 items, point B costs 3,000 PHP and quantity is 80 items.
We have:

This means that if the price of a product increases by 1%, the quantity demanded for the good decreases by 1%.
What are the factors that determine the price elasticity of demand?
Price elasticity of demand will be relatively high when:
• Already have similar goods available for replacement.
• Goods and services make up a large portion of a consumer’s budget.
• Considered over a longer period.
Consider each factor in detail:
When there are a large number of substitutes available, users respond to an increased price of a good by purchasing more substitutes and buying less of the relatively expensive good. Thus, we should be able to predict fairly high price elasticity of demand for goods and services with close substitutes, but people also expect demand to be relatively inelastic with goods like Insulin or Tamiflu because there are very few close substitutes.
If the good represents only a small proportion of the total budget of the user, an adjustment in the price of the good will have little effect on the purchasing power of each person. so in this case, a change in price would have a relatively small effect on the quantity of the good consumed. For example, a double salt price would have very little impact on a typical user’s budget. However, when a good makes up a relatively large portion of an individual’s spending, an increase in price has a large impact on their purchasing power.
To take a detailed example, suppose a person spends 50% of his or her income on a good and the price of the good doubles. It seems that this individual will continuously reduce their spending in order to get frustrated with the higher price when spending with this commodity makes up the majority of the user’s budget. As a result, demand will tend to be more elastic for goods that make up a large portion of a typical consumer’s budget.
Users are often more likely to choose to substitute a good when the price change is over a longer period. For example, consider the impact of an increase in the price of gasoline. In the short term, individuals may experience a slight but not significant reduction in their travel needs. However, in a larger period, users can switch to vehicles that consume less fuel or use public transport. Therefore, we would expect long-term demand for gasoline to be more elastic than short-run demand.
See also: What is CPI? How to calculate CPI

